一阶非齐次线性微分方程求解及应用举例
本文主要内容:介绍一阶非齐次线性微分方程的通解的应用、特解求解举例,以及二阶微分方程可用该通解求解的情形。
一、方程通解公式
一阶非齐次线性微分方程的解析式为:y'+p(x)=q(x),
则其通解表达式如下:y=e^[-∫p(x)]dx{∫q(x)*e^[∫p(x)dx]dx+c}.

二、通解公式的实际应用

本例中,p(x)=2x,q(x)=4x.

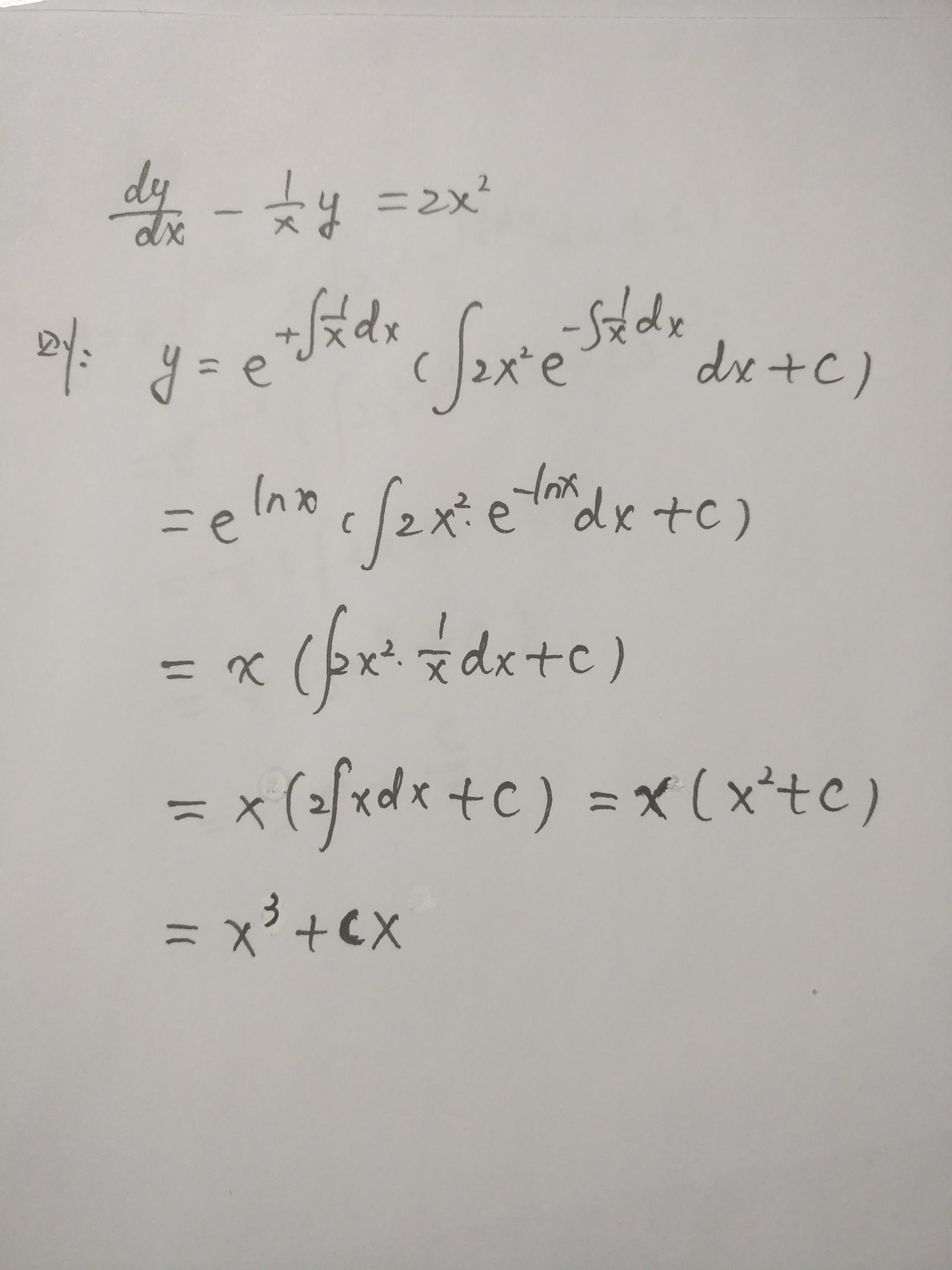
本例中,p(x)=-1/x,q(x)=2x^2.

本例中,p(x)=1/x,q(x)=sinx/x.

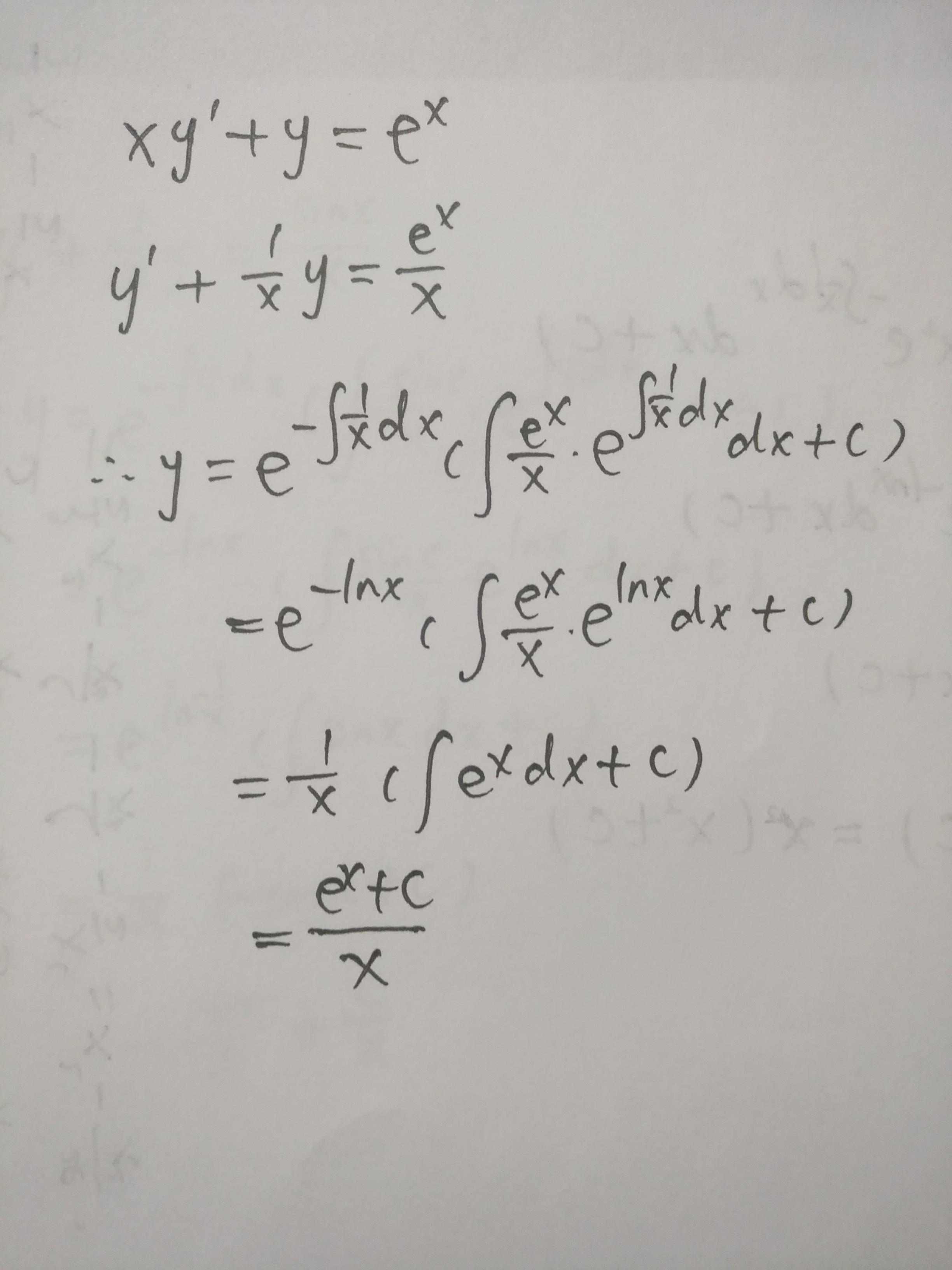
本例中,先要将y'前面的系数x变形除后,得到:p(x)=1/x,q(x)=e^x/x.

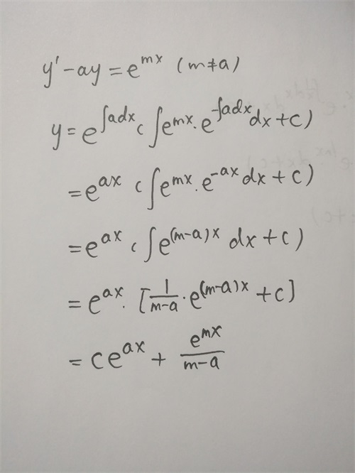
本例中,p(x)=-a,q(x)=e^mx.

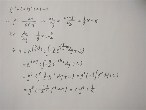
此例中,要反过来用一阶非齐次线性微分方程的通解公式,其中:p(y)=-3/y,q(y)=-y/2.
三、用公式求特解情况举例

本例中p(x)=1/x,q(x)=4/x,求满足y(x=1)=0时的特解。

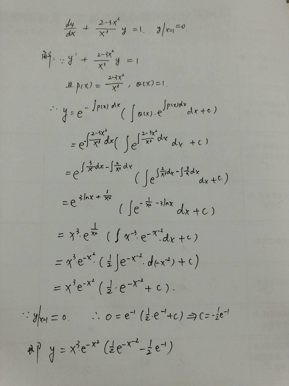
本例中p(x)=(2-3x^2)/x^3,q(x)=1,求满足y(x=1)=0时的特解。
四、二阶微分方程可使用通式求解举例

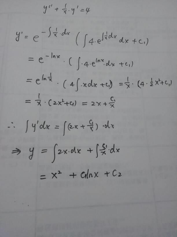
y''+y'/x=4,此时先对y'按照通式公式来求解,再对y'积分求解得到y,通解中含有两个常数系数c1和c2,此时P=1/x,Q=4。

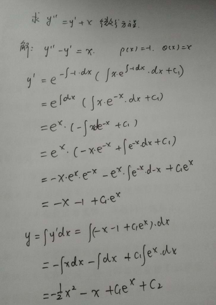
y''=y'+x,此时先对y'按照通式公式来求解,再对y'积分求解得到y,通解中含有两个常数系数c1和c2,此时P=-1,Q=x。

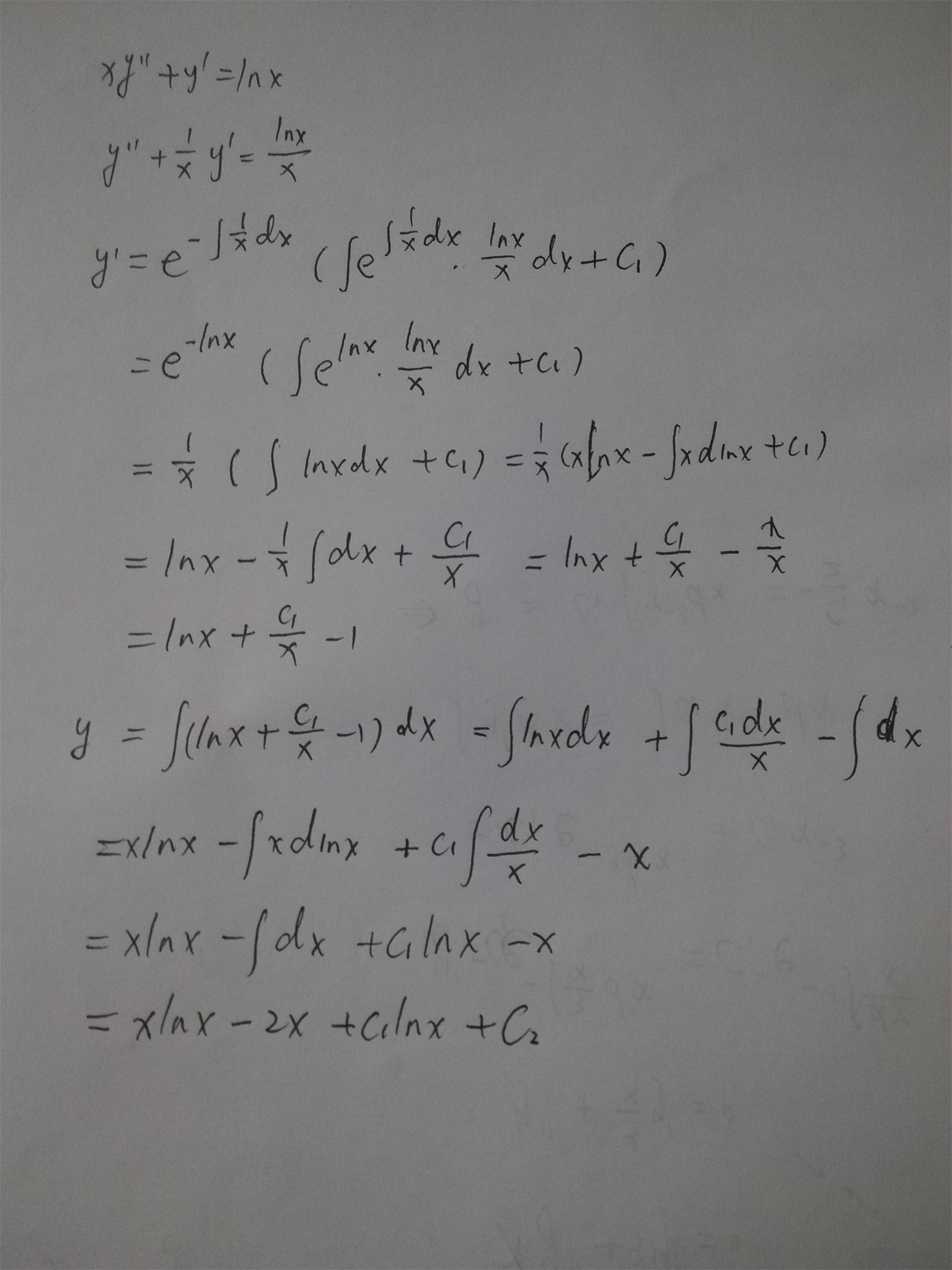
xy''+y'=lnx,此时先对y'按照通式公式来求解,再对y'积分求解得到y,通解中含有两个常数系数c1和c2,此时P=1/x,Q=lnx/x.
标签:
52
香奈儿Chanel2022春夏-高级定制服系列全图集!收藏请看这里 前段时间,香奈儿Chanel发布了2022年春夏定制服系列。本次发布会共计推出45个款式,除了主打的小香风粗花呢套装以外,还有...
98
全年度人气王桃豆豆,企鹅电竞英雄联盟一姐,小智:她真的有实力 目前全球总决赛已经成为玩家们关注的焦点,fpx又为lpl赛区荣获冠军,非常的争气,而且很多主播都会关注这件事情...
136
一度自卑暗恋着张继聪,现今当人妻的她一度被宠上天 谢安琪,香港歌手,凭借一首《喜帖街》让其红遍大江南北,如今还是KTV必点的曲目;谢安琪在大学时参加歌唱比赛,凭一曲《相...
124
王小明的劲敌-假面骑士zio!谁才是最强的假面骑士召唤大师? 相信很多人都看过假面骑士,小编从小学开始,空我到目前的ZIO那是一集没拉下,完完整整追了假面骑士二十年了! 假面...
171
少年西游记金将怎么获得?金将怎么培养? 少年西游记金将怎么获得?少年特别期待的金将终于来了,分别是女娲(人族)、孔雀明王(妖族)、九天玄女(仙族) ,金将在红将的基础上,还可...
99
贾斯汀·比伯3次爱上她,赛琳娜如何俘获音乐王子的心? 2018年2月2日,赛琳娜·戈麦斯在洛杉矶的一家墨西哥饭店吃饭,随后一起走出餐厅。来到一处公园玩耍。(图片来自东方IC) 今...
56
诸葛亮一生有3大预言,一个比一个准,最后的预言三百多年后实现 诸葛亮在我们心目中是一个料事如神的人物,不管是草船借箭,还是火烧赤壁,这些都体现了他的神机妙算。但其实...
151
男闺蜜和男朋友的区别 四点区别教你分清两者差距 很多女生之所以会爱上自己男闺蜜,最后得不到男闺蜜的爱,还损失一份友谊,原因就在于男闺蜜和男朋友这两个角色在女生的生活...
109
电脑开机按F2是怎么回事?到底如何解决呢 一些用久了的电脑,会出现电脑开机提示需按F2是怎么回事?到底如何解决呢! 出现这个情况是由于系统硬件配置信息更改,非法关机等此类...
200
春秋五霸都是谁? 春秋五霸的故事是春秋战国时期留在我们脑海中最深刻的记忆,这些豪杰在动乱的青铜时代都曾有一段属于自己和国家的传奇。春秋五霸这个概念,我们现在认为的大...
127
10张老兵退伍时的照片,每一张都令人潸然泪下! 铁打的营盘,流水的兵,每一年都有新战士入伍,也有老兵离开;当兵后悔两年,不当兵后悔一辈子,到了卸下军衔的时刻,才明白“...
131
《锁麟囊》春秋亭避雨,张云雷唱功了得,纯享版附词 小姐,这雨可越下越大了。 春秋亭外风雨暴,何处悲声破寂寥?隔帘只见一花轿,想必是新婚渡鹊桥。吉日良辰当欢笑,为什么...
102
英雄联盟:电竞诗人!解说王多多的经典名句你知道几个? LPL的解说作为最接近英雄联盟的一批文化人,一直以来都是备受大家的关注,从刚开始的娃娃米勒,到后来泽元记得,再到本...
96
三国名将赵云妻子是谁? 据说赵云的妻子有四个版本,蜀国五虎将赵云堪称三国时期最完美的武将,同时也是历史上的名将,可是关于他的妻子到底是谁呢? 第一个版本:马云禄。马...
158
看了PGONE的歌曲《范冰冰》的歌词,网友:李晨想打人 PG one和李小璐出轨这件事还在继续发酵着,从2017年跨到2018年的事似乎越来越真了,牵连的人也越来越多,昨天才爆出PGONE的歌曲《...
105
简单又漂亮的手工书签,保证你一看就会! 书签经历了从无到有的漫长演变。现在小学生手工制作的书签简单又漂亮,一起来看看! 小学生简单又漂亮的手工书签图片大全 小学生简单又...
123
钕铁硼磁铁是什么?有什么作用? 随着科技的不断进步,钕铁硼磁铁的运用是非常普遍的,钕铁硼磁铁的用途也越来越明显了。钕铁硼磁铁它不仅具有体积小、分量轻和磁性强等这些,...
52
卢本伟确定复出时间,目前有两个平台可直播,正在等一个时机 最近电竞圈和直播圈的热度是非常多人关注的,相信大家也看到不少这方面的内容,这两天有一件直播圈的大事,这件大...
160
4名熊孩子爬上34楼楼顶玩耍,物业发现后立即将其劝离 小朋友们的安全意识薄弱,作为监护人应当保护他们的安全,加强小孩的安全意识教育。 近日,陕西省咸阳市,一家小区内的4名...
132
只看前脸,9张图猜9个车品牌,这次真的只有车迷才懂 又到周六车漫部落猜车时间。上周的看图猜车有点难度,也有几道题有争议。无论如何,答案放在文末,看看是否跟你猜的一致。...