从一个点开始看世界——学渣来聊聊什么叫方程
微分方程是在高等数学里经常遇到的一种方程,相比我们在初高中学到的简单方程,这种方程有着非常神秘的性质。那么为什么这种方程如此神奇,为什么会需要这种独特的方程呢?虽然我只是一个学渣,但是还是愿意过来谈谈自己的想法。
方程和微分方程
方程是什么?方程实际上就是一种含有未知数的等式。通过建立未知数和已知数之间的关系我们可以对方程进行求解。用天平来比喻,就是在等式的两边放上各种各样的砝码,有些砝码的重量我们知道,有些我们不知道,而通过天平的平衡我们可以知道这些位置砝码的重量。

△用天平来比喻方程△
当然,有些时候方程不是要求到具体的未知数的值,而是要算到不同的未知数之间的关系,保证我们知道了某几个未知数之后就可以知道最后那个未知数。比如说下图就是x、y、z三个未知数之间的关系式,当我们知道了x和y的值之后,自然也就知道了z的值了。

△多元方程的图像△
而微分方程同样是为了求解未知数、已知数之间的关系,但是未知数不再只是以自己本身的面貌出现,而是以未知数导数的形式出现。所以我们在微分方程里面不仅仅会看到未知数y,还会看到未知数相对于其他未知数之间的导数关系,比如说dy/dx,比如说∂y/∂x,等等。

△微分方程包含了未知数的导数△
微分方程要考虑目标未知数的变化规律
比如说,我们用一个方程描述一辆汽车在一条笔直的公路上的运动,如果这个方程中只有距离x这一个目标未知数,那么这就不是一个微分方程,比如说x=10*t,其中t是时间,通过这个方程我们直接知道了目标未知数的表达式;
但是如果一个方程中既有路程x,又有路程的变化率(也就是速度),那么方程就变成了微分方程,比如说我们把方程写成了dx/dt=10,其中t是时间,那么这个方程我们建立的方程中就包含了路程变化率跟已知量之间的关系。
为什么微分方程如此重要?
我们先不去说纯数学里的微分方程,只说在物理中经常会用到的微分方程。而之所以我们会在物理中那么经常地用到微分方程,本质上是因为人类掌握的往往都是物体的局部规律,所以需要微分方程来描述这种局部规律,然后由局部规律反推整个物体的性质。
比如说一个复杂的物体,我们要知道其中应力是怎么分布的,那么我们很难找到一个直接表达式来描述应力在各个点上的值,但是我们却可以知道某一个点上的物理量变化规律。因为一个点是没有形状的,性质是确定的。

△复杂物体上的应力分布△
因此,我们写下的方程不是一个描述整个物体应力分布的方程,而是物体局部性质的方程。这个方程对于这个物体内部的每一个点都是适用的,所以我们建立起来的是每个点的平衡关系。在科学概念里面,我们往往为了表述方便,把这个点描述成所谓的“微元体”。

△微元体上的受力平衡关系△
但是,如果只是把一个物体分割成无数个彼此不相关的微元体,那么这样的分割就完全没有意义,所以我们不仅要描述这个微元体上局部的性质,还要建立起来微元体与周围微元体之间的关系。所以这个时候物理量的导数就有必要了,因为导数本质就是“变化率”,描述的就是一个点与周围点之间的关系。
所以说,我们建立起来的微分方程实际上是描述物体内部各个点的性质,并且通过这个微分方程把这些点联系起来,织成一张“大网”,最后反推整个物体的性质。
总结一下
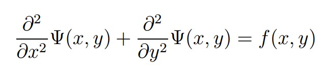
简单说,微分方程的意义就是描述物体局部物理量还有这些物理量的变化规律的,通过求解微分方程我们可以架起物体局部和整体之间的桥梁。比如说,下面一张图就是复杂的N-S方程,用来分析复杂流体的性质。

△复杂的N-S方程△
虽然公式这么长,但是实际上描述的也是流体之中一个点的性质而已。一团每个点都满足这个方程、流体的边缘还满足特定条件的流体,就是我们最终会求解的流体。
标签:
144
娶一个印尼女人多少彩礼钱?印尼女人告诉你大实话 #打卡美好生活#“娶妻难、难娶妻,娶个媳妇不容易”,这句口头禅在中国社会里,真的是一个不争的事实。@头条生活 尤其是在中...
117
a5尺寸多大尺寸,a5纸尺寸是多少 说到a5尺寸很多人都想知道,有必要科普一下,a5纸尺寸是多少厘米?和a5尺寸是多少呀?a5尺寸多大尺寸的内容,好让您知道a5纸尺寸是多少,来深入了解...
144
春困吃什么食物好 春困可以吃西洋参吗 这个时候每天都感觉像睡不醒似的,好像在经历春困,这个春困的时候一般吃什么食物是比较好的?吃西洋参能不能缓解春困? 春困吃什么食物...
143
内蒙古最美十大风景区 内蒙古是草原、沙漠、森林、山岳景观为主的特色鲜明的一个自治区。展现在大家眼前的是大漠孤烟、风吹草低见牛羊的景象,还有茫茫林海。 1、呼伦贝尔大草...
66
顾家的男人出轨后的心理(顾家的好男人为何也会背叛家庭) 最近收到一个问题:我老公是个很好的人。他尊重父母,善待亲戚朋友。他可以帮助他认识的任何人,当他遇到任何困难时...
60
男的动不动吵架说离婚(一吵架就提离婚的男人) 我和我他结婚时候,我年龄比较小,他家的条件也一般,当年我父母觉得我年纪小,对他也不是很满意。可是我不在乎,我想和他一起...
57
英菲尼迪产地(英菲尼迪属于什么档次) 我们常说,一辆好车可以开启新的人生,甚至可以伴随一生、完美滴诠释人的一生,目前,从国内外品牌来看,诞生于北美地区,属于日系的英菲...
189
张震讲鬼故事死因_张震什么 张震讲鬼故事死因不明,张震的妻子在一次采访中说,张震是因为工作太忙,没有时间陪孩子,所以导致孩子出生后没有奶水,孩子饿得哇哇大哭,张震只...
150
11款彩色针叶树种,高颜值贵族范儿! 针叶树,多生长缓慢,寿命长,适应范围广,而彩色针叶树是指拥有除了绿色之外颜色的针叶树品种,在一年四季叶片不落的基础上,它们亮丽的...
108
适合农村人做的小生意,农村人做什么生意最好? 提起适合农村人做的小生意,大家都知道,有人问求农村人在家做什么小生意最适合?,另外,还有人想问适合农村父母干的小生意,...
110
孩子上高中开始厌学了怎么办(高一孩子出现厌学怎么办) 感谢邀请: 抑郁最直白的说法就是社交障碍,即某人在特定的社会环境中无法控制自己与同伴正常交往的心理特征,很大程度上...
65
246810打一成语(246810打一成语疯狂猜成语) 246810,是什么成语 无独有偶 [wú dú yǒu ǒu] 生词本 基本释义 独:一个;偶:一双。不只一个,竟然还有配对的。表示两事或两人十分相似。...
163
后宫佳丽三千的乾隆,心中也有白月光,为何他唯独专情富察? 封建王朝的诸多帝王,后宫中都有数位嫔妃,除了明朝的朱佑樘在位期间只娶一位皇后外,其余的帝王后宫中基本都有最...
79
男朋友没主见能结婚吗 男朋友没有主见怎么办 虽然说男生在很多事情上面要多听听女生的想法,但是作为男生的话,还是要有自己的主见比较好,完全没主见的男生会给人一种不能依...
192
大武生最终票房_韩庚几部剧的票房 2月9日凌晨,卢靖姗发文晒图为老公韩庚庆生,婚后二人十分恩爱,所以卢靖姗的祝福词也超甜:“我选择你,一遍又一遍地选择你。没有犹豫,没有...
73
未来十年男孩最吃香的职业,未来十年内的十大热门专业是什么? 提起未来十年男孩最吃香的职业,大家都知道,有人问未来男生最吃香的十大专业,另外,还有人想问未来男生最吃香...
195
桂花树不开花是什么原因?对策都在这里了! 桂花树形优美,四季常青,而且在开花时可以香飘数里,一直都是园林绿化中经常应用的一个绿化树种。而且很多家庭园艺爱好者,也喜欢...
88
串串狗品种好吗?串串狗狗品种 本篇文章给大家谈谈串串狗品种好吗,以及串串狗狗品种对应的知识点,希望对各位有所帮助,不要忘了收藏本站喔。 串串是什么品种的狗 1、串串是马...
123
广东有哪些2a大学,广州有什么2a本科学校 本文目录 1.广州有什么2a本科学校2.广东省有多少所小学学校3.广东2a学校有哪些及分数线4.广东的二本大学有哪些 广州有什么2a本科学校 广东二...
201
学会了这四点,不用再担心被分手! 今天大家分享一下在跟一个女生进行长期 恋爱 关系时,该怎样维护恋情才能让他走的更长远? 1:相互成长 无论是 恋爱 关系还是婚姻关系,如果...