等差数列求和公式教学(高中数学:数列求和的常用六种方法及其适用情形)
等差数列求和公式教学(高中数学:数列求和的常用六种方法及其适用情形)
高中数列求和的方法有很多种,
比如公式法、错位相减法、裂项相消法、倒序相加法、数学归纳法、自然数方幂和公式法等。
但是每种方法的
适用情况
又各不相同。因此,我们必须认真掌握好每一种方法及其适用情况,才能在解题中灵活应对。
现在,我们就来对这几种方法及其适用情况进行详细介绍,而部分求和方法又有一些公式需要我们熟悉并记忆。希望通过本篇你能熟练掌握数列的常用求和方法。
为了培养孩子的数学学习兴趣,可以让孩子读读这本书:

数学
一、公式法
:适用于最基本的等差、等比数列或可转化为等差、等比数列的数列。公式法是最基本最重要的方法,必须掌握。
例1、
已知{
an
}是等差数列,
Sn
为其前
n
项和,
n
∈N*.若
a
3=16,
S
20=20,则
S
10的值为________.

二、错位相减法
:适用于{anbn}其中{an}是等差数列,而{bn}是等比数列。

三、裂项相消法
:




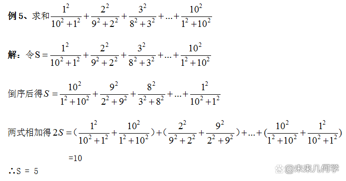
四、倒序相加法
: 类似于等差数列前n项和公式的推导方法. 一般来说,数列
前n项具有与两端等距离项的和相等的数列,可用这种方法求和。


五、
数学归纳法:
数学归纳法是证明与自然数n有关的数学命题或猜想的一种常用的推理方法。
例7、
是否存在常数a,b,c,使得等式:

于是 当n=k+1时等式也成立。
故 当a=3, b=11, c=10时,题设的等式对一切的自然数n都成立。
六、自然数方幂和公式法

标签:
191
大人发烧37.5度怎么办全身发冷(感冒发烧,除了吃药输液,我们到底应该怎么办 ) 什么是发烧? 正如任何一个发过烧的人而言,发烧是人体体温上升的现象,医学上讲,人体正常体温...
158
打扮小游戏大全(好玩的女生爱玩的换装游戏推荐 有超多绝版衣服收藏) 好玩的女生爱玩的换装游戏是很多的玩家很喜欢的游戏的类型之一,在好玩的女生爱玩的换装游戏中玩家可以...
132
坐飞机不能带什么物品(坐飞机尽量不要带过多液体化妆品,了解一下) 飞机已经成为日常地工具,因为飞机出行速度快,安全性高,深受人们地喜欢。因为飞机在空中飞行的特殊性,...
183
不懂电脑的人买台式电脑怎么买 ,需要掌握哪些技巧? 打个比方,你拿电脑写文件做PPT,你配个3080TI就没有必要,如果你是一名游戏发烧友,你没有配独立显卡,而是使用集成显卡那么...
78
阿尔兹海默症是什么(世界阿尔茨海默病日 警惕这七种患病信号) 9月21日是世界阿尔茨海默病日。什么是阿尔茨海默病?阿尔茨海默病在早期有哪些信号?如何预防阿尔茨海默病?近...
218
dcom意外终止系统重启解决办法(win7系统dcom server process意外终止的解 决方法) 今天小编给大家浅析win7系统dcom server process意外终止的解决方法,使用电脑的时候,经常会碰到各种各样的...
177
厌学的孩子该怎么疏导 怎样疏导孩子厌学的心理?深挖孩子的厌学原因 孩子出现厌学是让家长非常头疼的一件事情,学习是改变我们人生命运的重要途径,每个家长都期盼自己的孩子...
151
眼角长斑怎么办小妙招(眼角有斑的原因,有斑该如何去除) 生活当中每个女人对自己的皮肤都非常在乎,脸上有一点的小瑕疵都接受不了,无论是脸上长皱纹还是眼角有斑,虽然都是...
136
硒的作用养生|什么食物含硒多?硒的7种神奇作用 硒是人体必需的微量元素,是一种非常重要的元素。很多人可能都不太清楚硒对身体健康有哪些作用,那么,下面就为大家详细介绍...
97
文章的表达方式有哪些种(文章写作表达的方式哪些种) 本章分五节,讲解文章的五种基本表达方式:叙述、描写、抒情、议论和说明。 第一节,叙述。重点讲叙述的六要素(人物、事件、...
156
私家车的使用年限?新的报废标准出来后,车主:心已凉 现在,路上行驶的车辆越来越多,许多家庭都有能力购买自己的私家车。随着汽车数量和保有量的增加,汽车工业的各个方面都...
121
什么时候最容易怀孕月经前还是后(大姨妈走后多久更容易怀孕?超过这个时间很 难怀孕) 相信点进来看这篇文章的男生女生们,都希望自己能够早日拥有一个属于自己的宝宝吧,我...
71
如何学习编程?相见恨晚的学习方法 第一步:观摩学习,找到方法 编程学习需要很多的知识, 不同的语言还有不同的语法,不同的应用环境 。学习编程的第一步,就是我们各种编程的...
181
如何共享一台打印机 办公技巧——局域网多台电脑轻松共享一台打印机,超详细图 文教程 在单位常常会遇到以下情况:办公室里只有一台计算机上连接着打印机,其他同事用起来很不...
162
秋葵有什么功效(这5个好处你要知道) 秋葵是一种草本科植物,在日常生活中最常见的是在餐桌上,因此秋葵也是一种很好的蔬菜,常吃秋葵能够为人体补充营养所需。而且秋葵也有...
143
跑步有什么好处和功效(坚持跑步四年后,我收获了这些好处:健康、毅力、耐心 、大脑放空) 跑步坚持了四年了。严格来说是连续跑步坚持了快四年了。之前断断续续跑跑停停,没...
76
脸上长痘痘吃什么好消失(脸上起痘苦不堪言,多吃这5种食物,帮你改善痘痘肌 ) 很多人脸上都会经常长痘痘,这算是一件很普遍也很平常的事情。痘痘的生长与我们日常的饮食,生...
189
酒的危害 饮酒不仅伤胃更伤肾,酗酒的6大坏处,知道了你还敢喝吗? 酒似乎已经成了人的家常便饭了,家宴、朋友聚餐、公司聚会喝酒是无法避免的了,但你们知道长时间的饮酒会伤...
182
加湿器有风不出雾怎么回事,这个方法分享给大家 到了冬天这个加湿器是不可缺少的一个产品,因为冬天太过干燥,很容易就皮肤干裂,要么就是流鼻血,搞得整个人都不好了。所以许...
188
扁桃体手术 扁桃体总发炎,要不要切? 扁桃体由腭扁桃体、咽扁桃体和咽鼓管扁桃体组成。其中,腭扁桃体是最容易发炎的。扁桃体炎主要包括三种:慢性扁桃体炎、急性扁桃体炎和...