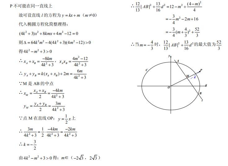
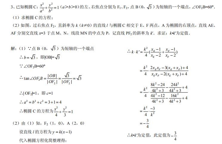
79页高中数学解析几何100道经典大题(含答案)高考复习冲刺有用
几何是高中数学最常考的考点之一,用代数的方法解决几何问题,难度不用我说,大家都知道是怎么回事。
接下来,小韩同学会分享给大家一份资料:
一份资料:高中数学100道解析几何经典题。想要用这份资料复习的同学,可以点小韩头像,发送秘钥【数学100】。篇幅有限,我更新了部分图片在下面。










79页高中数学解析几何100道经典大题(含答案)高考复习冲刺有用
几何是高中数学最常考的考点之一,用代数的方法解决几何问题,难度不用我说,大家都知道是怎么回事。
接下来,小韩同学会分享给大家一份资料:
一份资料:高中数学100道解析几何经典题。想要用这份资料复习的同学,可以点小韩头像,发送秘钥【数学100】。篇幅有限,我更新了部分图片在下面。










中华五千年那些事之二 神农尝百草 传说中炎帝教大家耕田播种庄稼,带领大伙制作农具,兴水利,识五谷,种百果,使人类能够世世代代生存下去,所以大家都称他为神农。 神农看到...
鱼形尾巴种子—梣叶槭 梣叶槭 槭树科槭属 奇数羽状复叶,小叶3-7,有短绒毛,黄绿色,小叶片卵形,长基部广楔形或钝圆形,先端锐尖,边缘有不整齐的疏锯齿。 侧生小叶柄短。小...
世界第三高峰——干城章嘉峰 干城章嘉峰,位于喜马拉雅山脉的东段,是世界第三高峰。它的海拔高度为8586米,是登山爱好者和探险家们向往的挑战之一。 干城章嘉峰的攀登路线经过...
72节回春医疗保健操音乐口令音频(时长54分59秒) 72节回春医疗保健操音乐口令音频,时长54分59秒。 很多朋友有每天做“72节回春医疗保健操”的习惯,不同的朋友有不同的喜好,下面...
【原创诗词】七绝三首 故乡情 [之一] 离乡情 雄鹰展翅彩云飞, 回望神州何日归。 杨柳依依犹惜别, 西风飒飒满征衣。 [之二] 思乡情 月上高楼思故乡, 烟波浩渺夜茫茫。 天涯应是连...
圆脸中长发发型设计 圆脸mm在选择发型时总是要考虑很久,今天小编带来几款适合圆脸mm的中长发发型,让mm们做一下参考,一起来看看这些圆脸中长发发型吧。 二八为分的刘海露出一...
易经杂说——南怀瑾 《易经》是阐述天地世间万象变化的古老经典,是博大精深的辩证法哲学书。它蕴涵着朴素深刻的自然法则和辩证思想,是中华民族五千年智慧的结晶。《易经》对...
微信理财群曝光:400人的群,300多人都是“托” 近期 央视曝光了一起“微信理财群骗局” 上海的张阿姨误入了 一个所谓的理财微信群 结果这个群里400多人 有300多人都是“托” 张阿姨...
上海下雪啦!嘉定、崇明雪花已很大,嘉定发布暴雪蓝色预警 寒潮来袭,上海气温直线跳水,入夜后终于来了“好消息”:上海下雪啦! 网友们第一时间纷纷拍下照片,上传到网上。...
让孩子上私立学校真的好吗? 首先,我不赞成孩子上私立学校。 现在实行9年义务教育,小学、初中全部免费,为何还要花一大笔钱让孩子上私立学校? 是因为觉得私立学校教学水平高...
请到沂蒙看金秋|平邑九间棚景区:喜迎国庆换新颜 提升服务优体验 大众网记者 程仁刚 临沂报道 10月3日,国庆节长假第三天。山东省平邑县天气晴好,秋高气爽。在绿水青山、花果飘...
曼谷大学——泰国私立大学综合排名NO.2 曼谷大学创建于1962年,是泰国规模最大的私立大学之一,市内(桂兰泰)校区坐落于曼谷市中心Rama 4,市郊(朗希)校区位于巴吞他尼府。 学校...
琉球国,日本的软肋 #头条文章养成计划# 琉球群岛上过去存在着琉球国,就在一百年前这个王国还有着自己的语言。中国明朝时曾封琉球岛统治者为琉球王。因着水路之便,是邻近国家...
转发加油2020年高考倒计时:我们在大学等你 【转发加油2020年高考倒计时:我们在大学等你!】教育部回应高考会不会推迟,正进行研判。如果一切照常,今天应该是2020年高考倒计时...
武汉至神农架滑雪直通车发班 湖北日报讯(记者刘汉泽、通讯员徐传龙)随着神农架国际滑雪场正式营业,12月7日,武汉至神农架的滑雪直通车正式发班。 当天上午,在汉阳古琴台公...
腾讯NBA新晋女主播雪儿,好漂亮,好像曾经的初恋 今天打开电脑看了场湖人VS太阳的比赛,比赛期间美娜不见了突然出现一个新晋美女主播雪儿,一下子惊艳到我了,真的好美好漂亮,...
庆阳长庆桥火车站详细时刻表和票价,赶紧收藏起来吧! 长庆桥站位于甘肃省庆阳市宁县长庆桥镇,是西平铁路线上的一个站点,该站建于2015年,隶属兰州铁路局管辖,现为三等站,...
牛年说牛之2丨牝 牝意为锁孔和溪谷,也指雌性。 牛是四大基本力,万有引力的化生,匕是匙,牝即是取食于牛,即从万有引力处汲取滋养。 牛为丑的生肖,丑为地支之二,地支是生命...
民事起诉状(个人)模板 民事起诉状 原告: , 性别: ,出生日期: 年月 日,民族: 族,职业: 家庭住址: 联系方式: 委托诉讼代理人: 被告: , 性别: ,出生日期: 年 月 日,民族...
民国文,《穿成民国反派丽人》《民国之他身子骨真的不好》 #拯救书荒##言情##小说# 1《最强探长》作者:元月月半 2《穿成民国反派丽人》作者:龚女 3《民国弃妇逆袭》作者:樱桃糕...