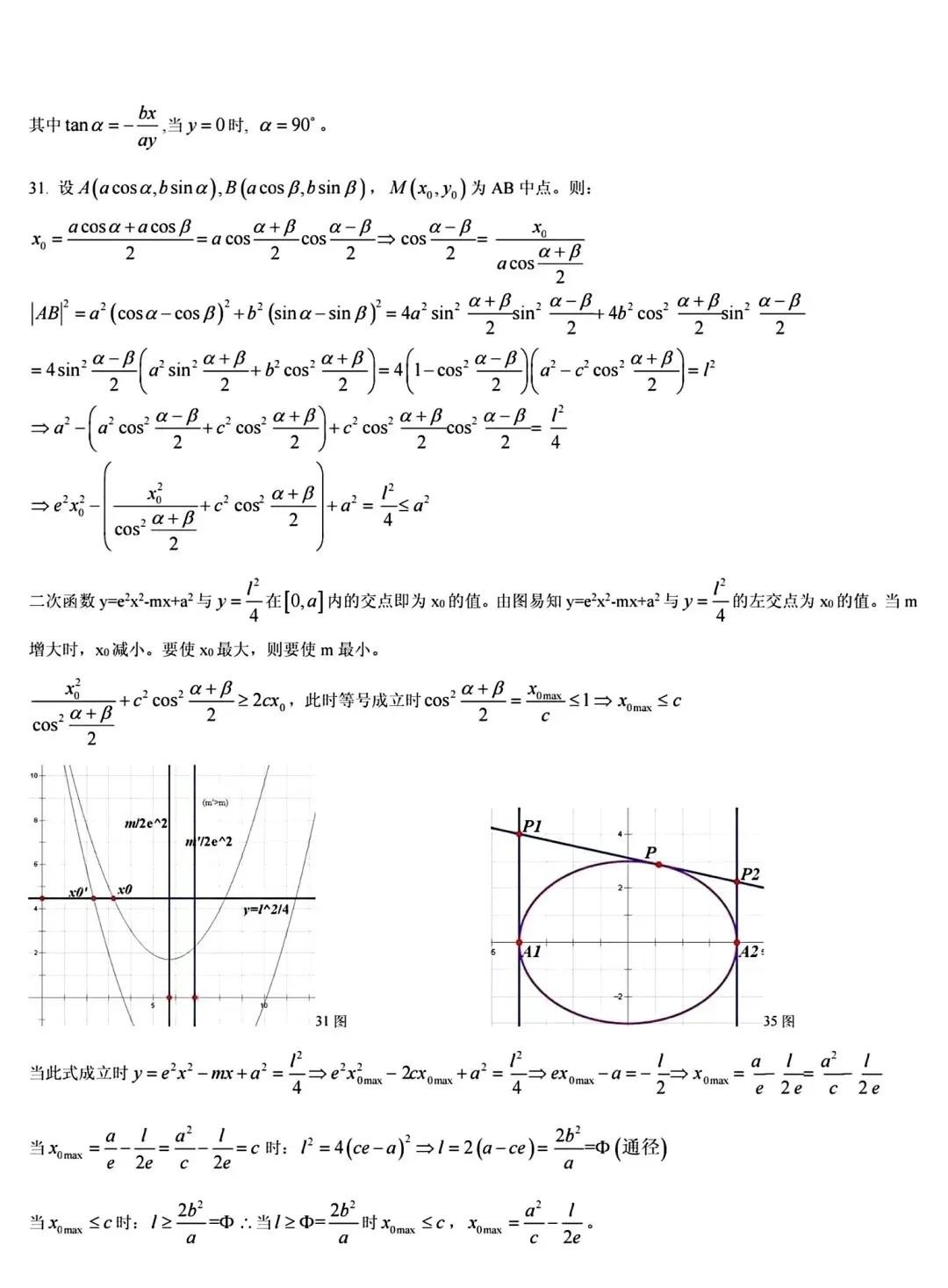
椭圆的92条经典性质【提分必看】

























取材网络仅分享侵权即删❗️
椭圆的92条经典性质【提分必看】

























取材网络仅分享侵权即删❗️
刷新认知!“活化石”腔棘鱼年龄可达100岁,怀孕至少持续5年 综合美联社、英国广播公司(BBC)报道,《当代生物学》(Current Biology)杂志6月17日发表了一项最新研究,法国科学家测定,...
实拍18张粉色花卉照片,传达出甜美纯真的视觉效果,你喜欢吗? 大自然的花卉种类繁多,不仅表现在外形上,而且在色彩上也有所不同。红色、粉色、白色、紫色、黄色等几种颜色,...
人间清醒的跋扈宫斗女主!雪中回眸的《娘娘她总是不上进》很苏爽 大家好呀,我是姜姜,关注我不书荒! 每日推荐 《娘娘她总是不上进》----雪中回眸。宫廷权谋。 齐怿修 and 沈初柳...
聊聊我所知道的两院院士 两院院士,是中国科学院院士、中国工程院院士的统称。一般每两年增选一次,从国内外最优秀的科学家选出,每次总名额不超过60人。“两院”都是部级单位...
虎皮鸡爪,下锅炸之前记得腌制下,这样容易上色起皮,试试这做法 虎皮鸡爪 ,我们在家做,而且还简单,小时候是经常去外面买来吃,这回我们不用去买啦。 不过要记得,在做的时...
肯达尔·詹娜:天生的超模身材,直角肩,大长腿,气质出众 嘿,朋友们!今天我要给你们揭秘一个征服时尚界的女神——肯达尔·詹娜!她有着惊人的天生超模身材,直角肩膀,大长腿...
大葱君最新插画作品 大葱君,性别:男,职业:插画师,所在地:上海 黄浦区,生日:1991年5月12日,毕业院校:四川美术学院,爱游戏,爱画画;创作周期5-15天/幅。 插画师大葱君的...
2022年厦门普高录取线出炉,一双外仍然最难考 厦门中考各普高录取线终于出来了!一双外仍然是厦门最难考的三所高中!最高分的是一中,切线分为745分,最低分为内厝中学,切线分...
醉翁之意不在酒,何意? “醉翁之意不在酒”这句话,本出自于欧阳修的名篇《醉翁亭记》。说的是当年自己在滁州当太守的时候,常同好友们到“醉翁亭”上去喝酒,且没喝多少便已...
主打“背景强悍、出身高贵”,高调“炫爷爷”的韩雪究竟啥来头 如今韩雪也算是家喻户晓,红遍娱乐圈了。 然而,关注过她的演技和作品,不免会心生疑惑,什么时候红起来的呢?...
英国人在南非因性虐待儿童和与狗发生性关系而被捕 一名英国男子在南非被捕,罪名是涉嫌儿童色情和与狗发生性关系。当地警方说,这名男子非法居住在该国,并被指控是更广泛的性...
叶剑英元帅夫人辞世!百年人生,女性楷模! 沉痛哀悼叶剑英元帅夫人吴博同志! 叶剑英元帅夫人吴博同志于2023年11月13日7时13分因病医治无效在北京逝世,享年106岁! 吴博同志 她是...
羊肉汤你做对了吗,大厨分享多年经验总结,同样适合家庭做法 大家好我是厨师王俊杰,羊肉汤是大家比较喜欢的美食,它的营养非常丰富,可以补气养血,强身健体,暖身又暖胃。但...
许凯公开认证周历杰真实身高:179cm,网友热议真相 大家好,我是憨憨牛。今天咱们聊聊明星身高的事,你们感兴趣吗?近日,演员许凯在社交媒体上公开认证了周历杰的身高,表示周...
新手必备!独家自创的挖机顺口溜,看完对你肯定有帮助 大家好,我是挖哥小杨。今天我为正在学挖机,或准备学挖机的朋友带来了一个顺口溜。也可以说是打油诗吧。其中揉和了一些...
丰田10万级MPV曝光!1.5混动+7座,酷似MPV版“汉兰达”,霸气 在如今,大家都很关注的家用7座MP V车型领域,除了我们熟悉的国产五菱宏光以及最新款式的本田奥德赛和丰田塞纳之外,丰...
安阳林州地图高清版全图,林州市卫星地图分享 大家好,我是人见人爱的小苹果,今天小苹果给大家带来的是林州地图高清版全图以及林州卫星地图分享。特别声明一下,以下图片来自...
“喜寿”、“米寿”、伞寿、“白寿”、“茶寿”,各为多少岁? 中国文化博大精深,古人把文字的运用也到了极致。就像表示人的寿的叫法,就是古人根据汉字结构来巧妙的把人的岁...
真假对比:《飞驰人生2》虚构与真实巴音布鲁克赛道 揭秘《飞驰人生2》背后的真实巴音布鲁克赛道。 。 《飞驰人生2》在今年的春节档期再次成为了热门话题,沈腾和韩寒的合作再度...
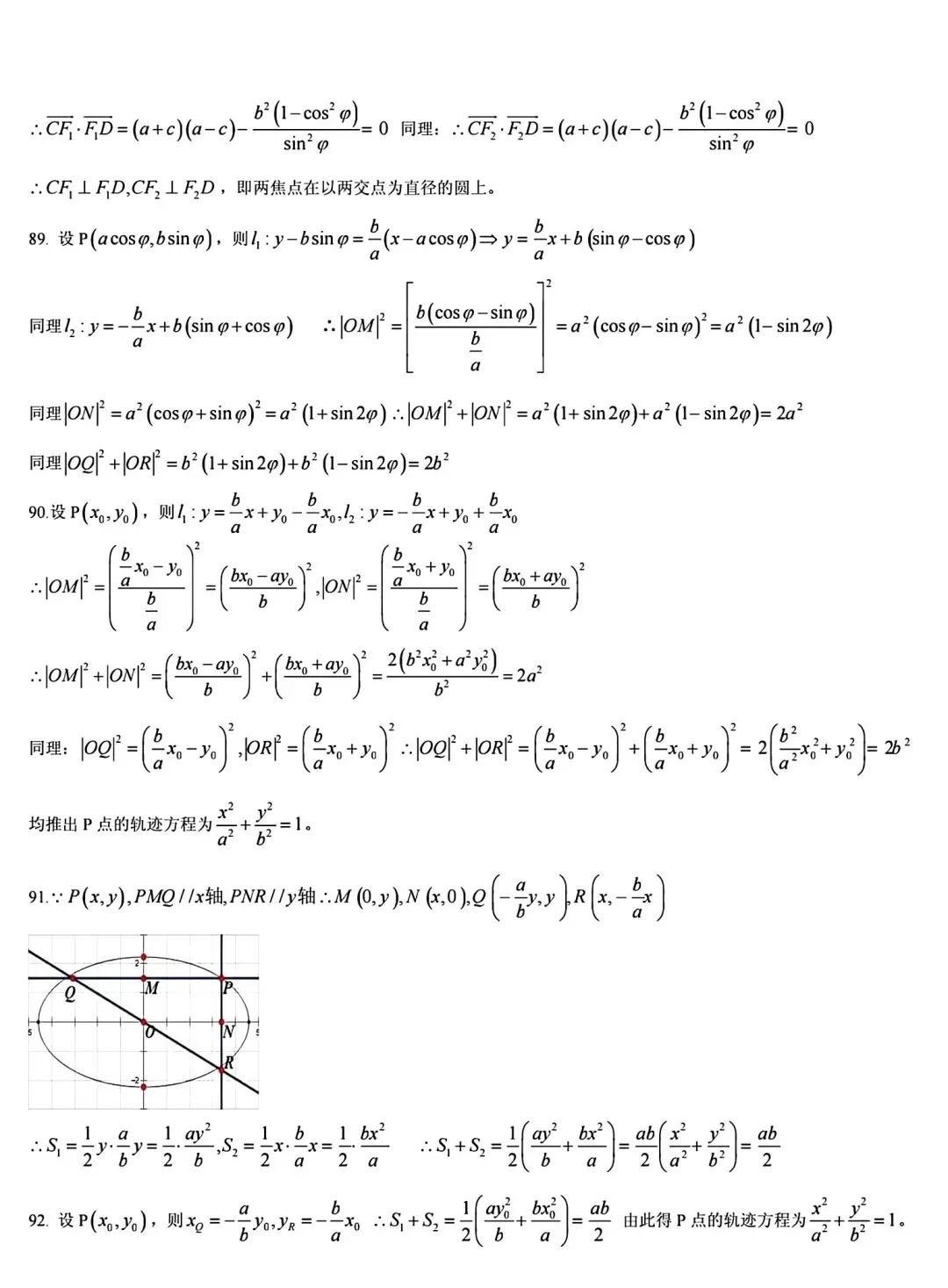
微信悄悄上线了10款新默认表情!网友吵翻了... 1月14日, 微信悄然上线了十款新默认表情, 其中包含了 “吃瓜”“加油” “汗”“天啊” “Emm”“社会社会” “旺柴”“好的” “打...