如何画中国地图 地图是怎么画出来的?
地图是怎么“画”出来的?其实更应该说,地图主要是“算”出来的!两千多年来,每个地图专家都是半个数学家。伴随着人类科技的进步,“算地图”的方法,也发生了翻天覆地的改变。

采用不同的计算方法绘制出的世界地图

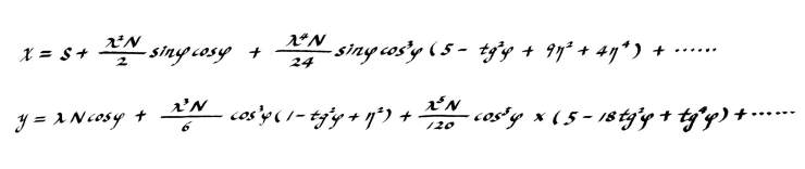
我国常用地图多采用“高斯-克吕格投影”,这是它的计算公式。
把地球“降维投影”
虽然许多人都知道地图是“特殊的画”,但要问你地图和普通的画作到底区别在哪儿,恐怕三言两语还说不清楚。其实,两者的核心区别,在于数学——所有真正意义上的地图,都是基于特殊数学法则绘制的。
地图绘制的基本原理,可以理解为“降维投影”——把高低起伏的三维地形地貌,投影在二维的地图平面上,并用各种图形、符号表现。就如同我们照相,是把三维的人拍成二维的照片。

垂直投影:把高低起伏的地面,垂直投影在平面上,这是绘制地图的最基本的方法,绘制较小区域的地图,比如城市、社区等,主要用这种方法。

透视投影:如果绘制较大区域的地图,要考虑地球表面的曲率,通常使用透视投影法。假设有一处投影中心(光源),把地表的样子投影到一个平面或者能“展开”成平面的曲面上。

如果要画小范围的地图,可以把地面理解为水平面或近似水平面,直接投影到地图平面上、再按比例尺缩小就行了。但随着地图覆盖范围增加,地球曲率的影响会越来越大,地图上的投影也越来越走形。
比如要画一幅北冰洋地图,我们可以想象一下:地球变成一个透明的球,地心位置有个超大射灯。射灯把光照向北极点,形成一个圆锥形光柱,再在北冰洋上空铺一块超大屏幕。这个“透明地球”表面的北冰洋及周边海岸线,就被这个圆锥形光柱投射到了屏幕上,也就是北冰洋“投影”在地图上的样子。由于真实的北冰洋区域是一个曲面,因此它在地图平面上的投影,会有一定程度的变形。
标签:
196
泡温泉的好处(泡温泉有益健康,这4大好处会让人爱上它,真的是名不虚传) 随着社会的发展,人们娱乐的东西也越来越多,不管是大人还是小孩,都能找到适合自己娱乐的东西。如...
201
沙参的功效 [健康宝典]中药系列二十一:沙参的功效与作用 沙参分为北沙参和南沙参。现分别介绍: 北沙参 来源:为伞形科植物珊瑚菜Glehnia littoralisFr Schmidt ex Miq.的干燥根。 产地:...
185
如何清蒸鱼 ,别放盐和料酒腌了,教你正确做法,又鲜又嫩吃不够 今天分享一下蒸鱼超好吃的做法,蒸,是最能保留食材原汁原味、营养价值的做法,而且少油少调料少热量,吃起来...
69
如何清洗猪大肠和猪肚子?加盐和面粉都不对!教你简单方法,干净卫生无异味 清洗猪肚大肠,加盐和面粉都不对!教你简单方法,干净卫生无异味 喜欢吃猪肚大肠的人,不会觉得它...
119
权益乘数计算公式是什么(什么是权益乘数?) 财务指标有很多,今天小编要给大家分享的是权益乘数,什么是权益乘数呢? 股东权益比例的倒数称为权益乘数,即资产总额是股东权益总...
213
辣椒油怎么洗掉最简单方法((衣服上的辣椒油就这样给洗掉了) 有些人可以说是无辣不欢的那种,一旦没有辣的话就没有任何的胃口。所以会买一些辣椒油放在家里,以备不时之需。...
163
交换空间播出时间 今晚(5月15日)中央电视台各频道晚间电视节目表 16:35 第一动画乐园 19:00 新闻联播 19:38 焦点访谈 20:06 永远的战友 ( 28 ) 22:38 经典咏流传 ( 第二季 ) ●中央电视台—...
202
汇率计算公式讲解(什么是汇率?汇率怎么定的?) 汇率既外汇利率,是两种货币之间兑换的比例。 货币是一国的法定财富,国家将社会所创造的财富赋予到了货币之上,以便于劳动...
160
风筝最初用来做什么?美国人说世界上最早的飞行器是中国的风筝 关于风筝的起源,大体有四种传说。 一是斗笠、树叶说;二是帆船、帐篷说;三是飞鸟说;四是李邺说。 但就风筝起...
152
初生婴儿便秘怎么办快速解决(新生宝宝为什么总便秘,早知这3招,宝宝早受益 ) 在每位女生做了妈妈以后,心里想的都是宝宝。走到哪都会联想到自己的宝宝,看到好看的婴儿衣服...
293
办公文档下载的方法(付费文档如何免费下载?教你4种破解方法,请大家低调使 用) 现在网上的很多东西都要付费,有时候我们想要找一些文案资料,都需要各种vip会员。那么付费文...
209
电脑上的小喇叭不见了 ?电脑喇叭没有声音怎么办? 电脑是日常生活中的一部分,大家在用电脑的时候想要听歌或看视频时,发现没有声音,并且电脑右下角有时没有喇叭,有时有喇...
181
淡豆豉的功效与作用(增加食欲 宣发郁热) 说起豆豉,大家都不陌生吧?我们不论在家炒菜,或是去饭店就餐都会接触到豆豉。豆豉是一种豆制食品。一般用黄豆或黑豆泡透蒸熟或煮...
104
宝宝腹泻可以吃鸡蛋吗 孩子拉肚子,千万别给吃蛋、乳制品 许多父母很头疼孩子拉肚子,特别是遇到换季,孩子拉肚子就让年轻的父母苦恼和无奈。以前我也像许多家长一样有些似是...
213
牙疼吃什么药立马见效(牙疼吃什么药好得快?普通用这2种药就行,不用吃多) 牙疼,是指牙齿因为各种原因引起的疼痛,是常见的口腔不良症状。一般来说,多出现在牙髓炎,牙外...
205
心情很烦躁怎么办(当感觉到心情烦躁时,试试这7个小妙招) 几乎所有的人都会出现心情烦躁的情绪,处于高压力状态下,只要有不顺心的人和事,脾气会变得异常暴躁和乱发脾气。...
130
酸罗卜泡法又脆又甜怎么做?教程来了,包你吃了直呼过瘾 大家都知道,白萝卜的做法多样,可以是炖汤喝、切成丝炒着吃,做成萝卜丝饼喝泡着吃凉拌萝卜条,这些做法都挺好吃的,...
213
如何用ps去水印 PS中用这种方法去水印,不干净了算我的 我这个方法用的软件:Photoshop,俗称PS,核心思路:覆盖水印,改变图层混合模式! PS去除文字图片单色水印步骤 1.打开PS,导入...
131
合生元的作用 宝妈们不能忽视的好伙伴 益生菌是一类对人体有帮助的微生物,能助力维护宝宝消化系统的健康。益生菌在肠道中起作用,当人体肠道受到病原菌、抗生素、过敏损伤时...
212
淡菜怎么吃?这样做,香气扑鼻,买2斤没吃够 青口,我们这儿也叫淡菜,个头挺大的,一斤也没几个,每人尝了一个两个就没有了,实在是没吃痛快,第二天我家孩子就说了,再去买...